overleaf template galleryLaTeX templates and examples — Recent
Discover LaTeX templates and examples to help with everything from writing a journal article to using a specific LaTeX package.

My documentation report Objetive: Explain what I did and how, so someone can continue with the investigation Important note: Chapter heading images should have a 2:1 width:height ratio, e.g. 920px width and 460px height.

tạo bìa đơn giản

This is the fourth project in Calculus 2 at Fitchburg State. Spring 2017.

This is a document to practice tweaking a class file for the first time, using the example of setting up the possibility of changing the colour theme of the document. The github to go with it is: https://github.com/latex-ninja/colour-theme-changing-class-tutorial- It is a reference document for this blogpost.

Presentación para la universidad Nacional, colores oficiales y orientada a ingeniería (datos, algoritmos) por secciones

Letterhead template for the Instituto Nacional de Pesquisas Espaciais (INPE, or National Institute for Space Research) in Brazil.

A template for the B1 mini-project. Part of the Engineering Science degree at the University of Oxford.

Hypothetical uniform quantizer standalone class figure.

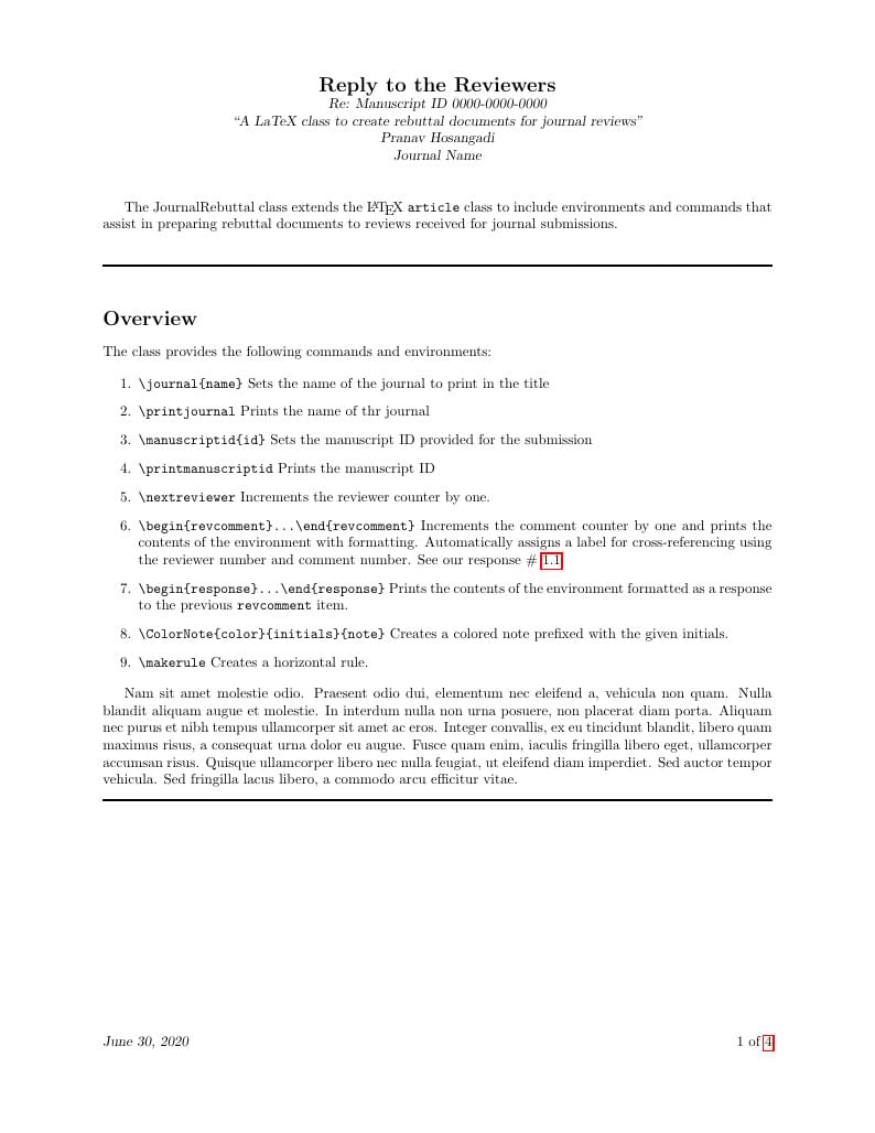
A template for writing rebuttal letters to reviews for journal submissions. Github repository: https://github.com/pranavh/JournalRebuttal_LaTeX/
\begin
Discover why over 25 million people worldwide trust Overleaf with their work.