overleaf template galleryLaTeX templates and examples — Recent
Discover LaTeX templates and examples to help with everything from writing a journal article to using a specific LaTeX package.

This is a complete thesis template which includes almost all the things required to prepare your PhD thesis according to the revised formatting guidelines of APJ Abdul Kalam Technological University (APJAKTU), Thiruvananthapuram, Kerala 695016

Choose how your presentation looks. For more themes, color themes and font themes, see: http://deic.uab.es/~iblanes/beamer_gallery/index_by_theme.html

1 часть статьи. 2 часть доступна за дополнительную плату. Обращаться сюда: nikolay.shamaev@gmail.com

Now in its third year, the STEM Fellowship Big Data Challenge is a competition that helps high school students get excited about Data Science and its potential to support inquiry-based learning and problem solving.

Master thesis template University of Hyderabad

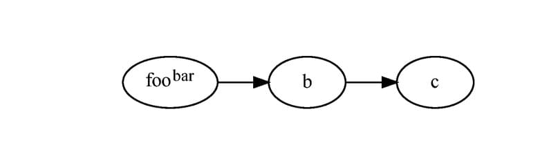
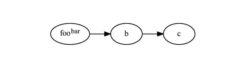
An example of the graphviz package, which uses dot in the background to draw graphs. Add \usepackage[pdf]{graphicx} to get HTML-like labels working.

A simple and stylized curriculum vitae template.

Template for IUCr conference abstracts. For more information, please see IUCR's instructions.

坂東研 (量子情報研究室) の卒論テンプレートです.
\begin
Discover why over 25 million people worldwide trust Overleaf with their work.