overleaf template galleryLaTeX examples — Recent
Examples to help you learn how to use powerful LaTeX packages and techniques.

Sample LaTeX document of math homework, created by Robert Hanson. Source: Robert Hanson webpage. This template was originally published on ShareLaTeX and subsequently moved to Overleaf in October 2019.

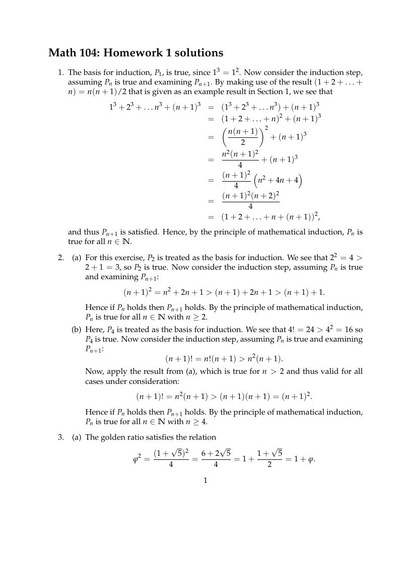
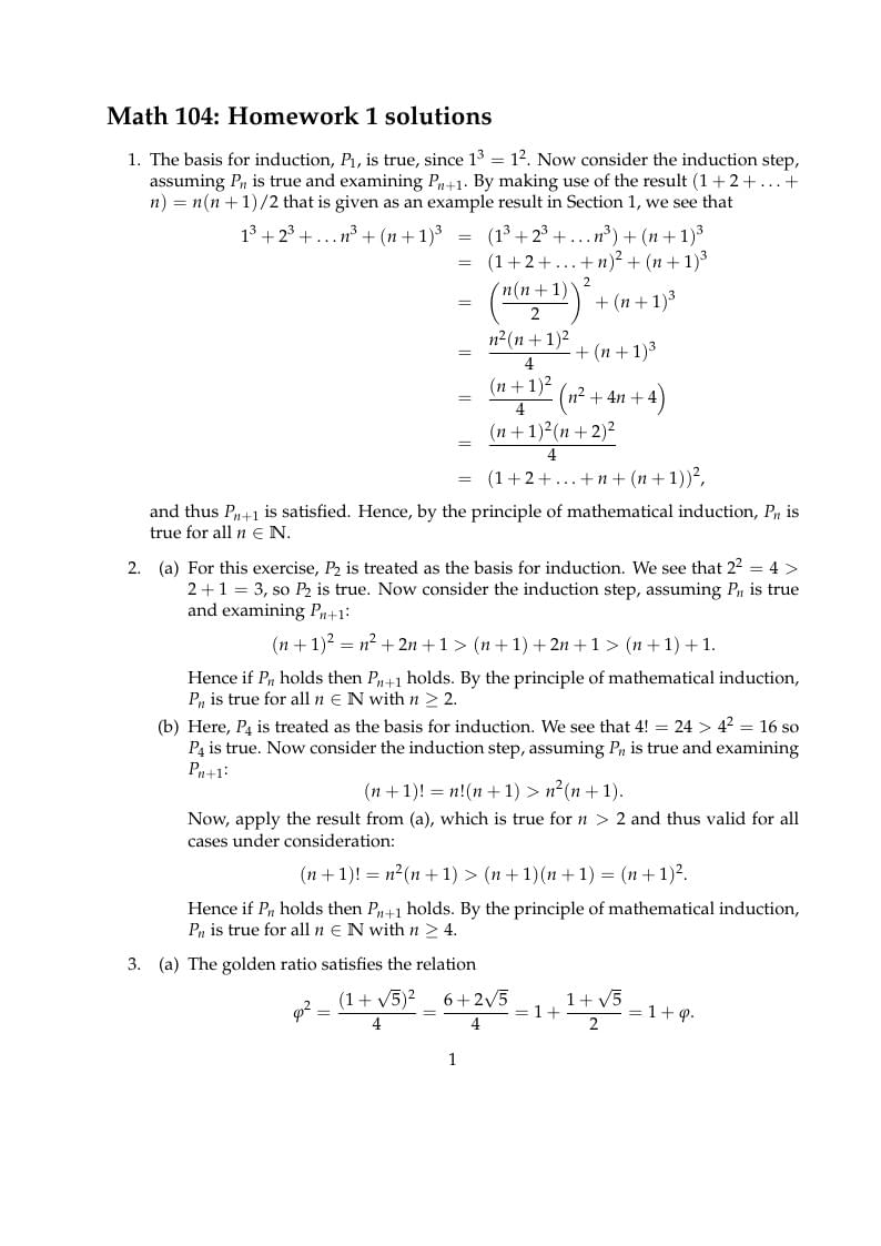
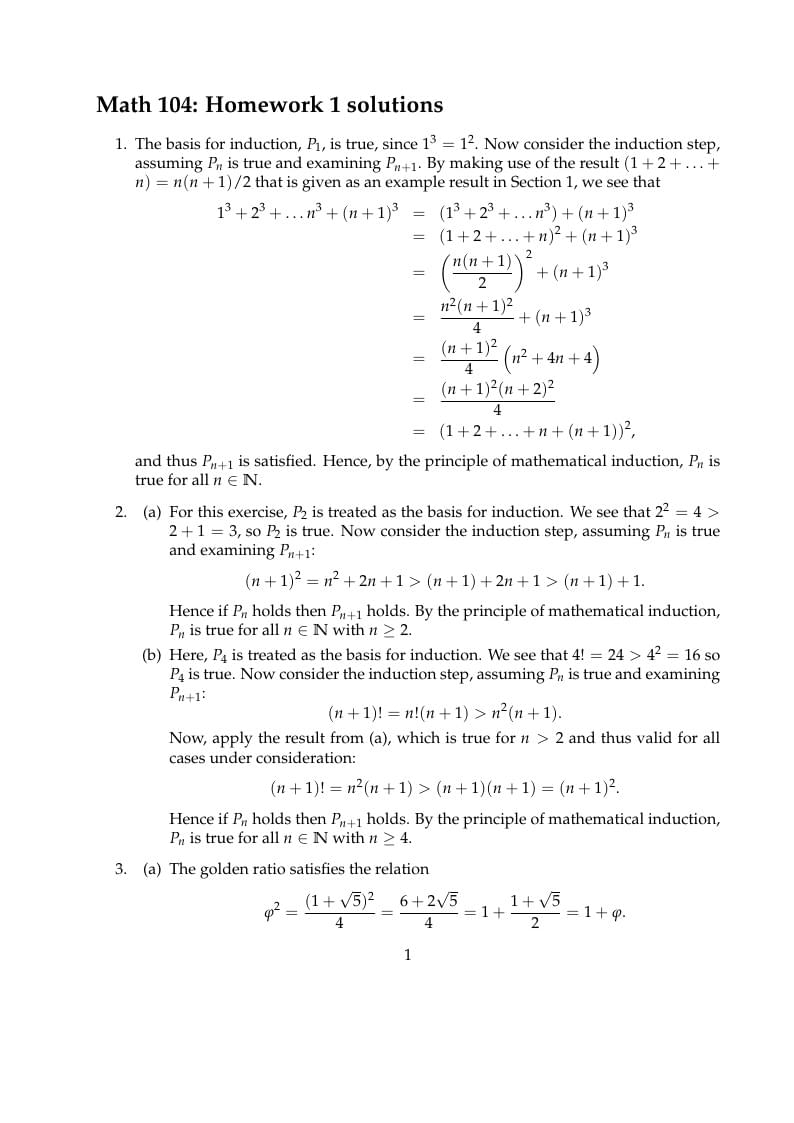
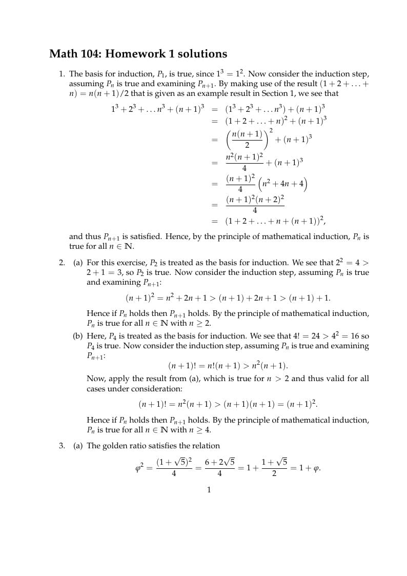
Sample LaTeX files for homework questions, with solutions, created by Chris Rycroft. Source: http://people.seas.harvard.edu/~chr/104.S12/hw/ This example was originally published on ShareLaTeX and subsequently moved to Overleaf in October 2019.

(Um bom exemplo de paper no estilo LNCS em português do Brasil) Esse trabalho analisa o efeito da aplicacão de diferentes valores nos parâmetros para resolução de problemas usando algoritmos genéticos. Um algoritmo simples é usado em um problema trivial permitindo um grande número de experimentos em pouco tempo e simplificando a análise.

tikz flowchart of an epidemiology study

Pakiet flowfram umożliwia definiowanie dowolnych ramek tekstowych w których tekst przepływa pomiędzy nimi zgodnie z kolejnością ich definicji. Bardzo łatwe staje się definiowanie kolumn wielołamowych ale także takich z niestandardowym położeniem pól tekstowych występujących w plakatach lub czasopismach. Dzięki pakietowi flowfram system LaTeX może z powodzeniem zastępować programy komercyjne takie jak InDesign w tworzeniu graficznie zaawansowanych dokumentów.

Since version 0.7.0 of fonts-tlwg is published, XeLaTeX users now can specify Thai fonts from those package without having to upload them manually. This creates a better Thai XeLaTeX experience especially on online platforms such as Overleaf.ตั้งแต่ fonts-tlwg ปล่อยเวอร์ชัน 0.7.0 ออกมา ทำให้ผู้ใช้งาน XeLaTeX สามารใช้งานฟอนต์ภาษาไทยโดยไม่จำเป็นต้องอัปโหลดฟอนต์เองอีก ทำให้การใช้งานภาษาไทยใน XeLaTeX ทำได้ง่าย โดยเฉพาะสำหรับโปรแกรมออนไลน์อย่าง Overleaf

Aprendiendo a usar latex

An sample essay for Math 220 assignments

Tarea sobre carta de tesis en metodología
\begin
Discover why over 25 million people worldwide trust Overleaf with their work.