LaTeX templates and examples — Assignments
Handy LaTeX templates for homework assignments to use at school, college, and university. They’re great for teachers to prep classes too.
Recent

Templatka przeznaczona dla studentów polskich uczelni matematyczno-technicznych na czas walki z kornawirusem.

This is the "correct" table format for RMIT Complex Mental Health, Trauma and Recovery course. A Recovery Focused Nursing Care Plan Assignment.

A revised 6.046 Problem Set template which meets all of the submission format requirements and also has no template warnings/errors.

Report template for the "Algorithms and Data Structures" course.

Template for Lebanese American University math assignment.

MAT 3100 assignment template

Homework assignment LaTeX template created by Ted Pavlic. Source: Ted Pavlic’s homepage. This template was originally published on ShareLaTeX and subsequently moved to Overleaf in October 2019.

Sample LaTeX document of math homework, created by Robert Hanson. Source: Robert Hanson webpage. This template was originally published on ShareLaTeX and subsequently moved to Overleaf in October 2019.

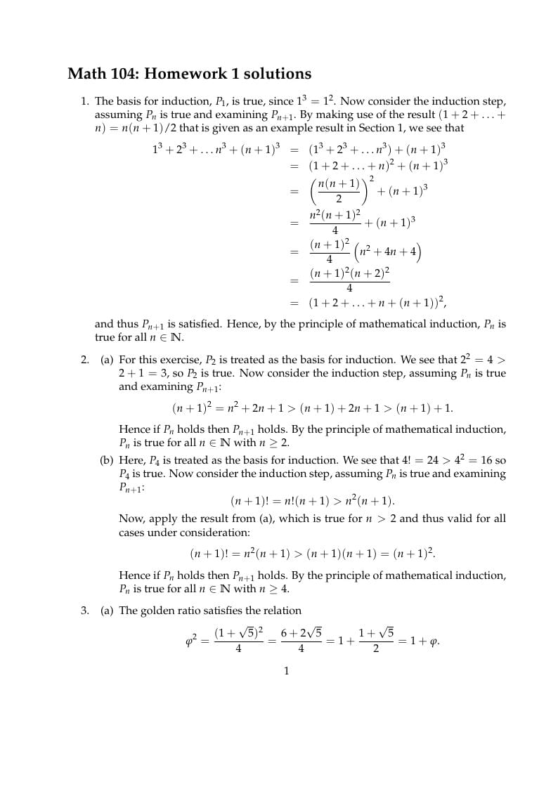
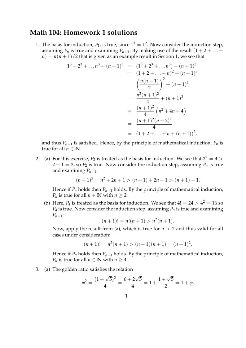
Sample LaTeX files for homework questions, with solutions, created by Chris Rycroft. Source: http://people.seas.harvard.edu/~chr/104.S12/hw/ This example was originally published on ShareLaTeX and subsequently moved to Overleaf in October 2019.
\begin
Discover why over 20 million people worldwide trust Overleaf with their work.